top of page

전체기사


KAIST 금속신경단백질화학 연구단
대전광역시 유성구 대학로 291, KAIST 자연과학대학 화학과 E6-4, 5109호 042) 350-2826 miheelim@kaist.ac.kr https://sites.google.com/site/miheelimlab KAIST...


과학과 교육과정 개정의 지역화 정책 측면에 관한 탐색
천주영 | 서울특별시교육청 장학사, aither1028@sen.go.kr 서 론 교육과정의 지역화는 국가 수준에서 표준화하여 결정해 온 역할을 시·도교육청 중심의 지역 수준에서 자율적으로 수행하도록 상당 부분 나누는 것을 의미하는데, 그런 맥락...


전기화학적 이산화탄소 활용을 위한 탄소 기반 촉매 소재의 기회
윤혜원, 유수환, 황윤정* | 서울대학교 화학부, yjhwang1@snu.ac.kr 서 론 산업의 발달과 인구의 증가로 인해 화석 연료 기반의 에너지 사용은 증가하였고, 이는 현대의 경제 성장을 이루는 원동력이 되었지만 동시에 기후 변화를...


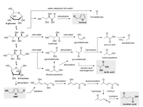
탄수화물에서 바이오 연료 및 고부가가치 화합물로 전환할 수 있는 기술 개발의 연구동향
양정운 | 성균관대학교 에너지과학과, jwyang@skku.edu 서 론 탄수화물은 단백질, 지방과 더불어 인체의 필수 3대 영양소로 불린다. 탄수화물이 체내에서 소화되면 포도당으로 분해되며, 이 중 일부는 인체의 필요 부위에 활용되거나 구성...


탄소-중립 달성을 위한 온실가스(CO2)의 유용 화학 물질로의 전환 이산화탄소 유래 카보네이트 합성 촉매 반응
장혜영 | 아주대학교 화학과, hyjang2@ajou.ac.kr 서 론 전지구적인 기온상승과 급격한 기후변화는 인류의 큰 위기로 다가오고 있다. 기후변화에 영향을미치는 요인을 단순하게 몇 가지로 말하기는 어려우나, 대기 중 이산화탄소의 농도...
bottom of page



